Barwy towarzyszą człowiekowi od zarania dziejów. Każdego dnia możemy poznawać na nowo ich piękno i różnorodność, bo wciąż są one dla nas zagadką. W naszych poprzednich artykułach mówiliśmy o tym czym są barwy oraz o modelach barw zależnych od urządzeń. Tym razem chcielibyśmy przybliżyć Wam kolejne modele, na które zapotrzebowanie pojawiło się już na początku XX wieku.
W 1931 roku, na zlecenie „Commission Internationale de l’Eclairage” (Międzynarodowej Komisji do Spraw Oświetlenia) opracowano model barw niezależnych od urządzeń. Stworzono go na podstawie badań przeprowadzonych na grupie około dwudziestu osób, które potrafiły prawidłowo rozróżniać kolory. Grupie tej pokazywano, w bardzo wąskim polu widzenia (2o), różne barwy i mieli za zadanie różnicować je. Statystyczna analiza odpowiedzi pozwoliła na opracowanie modelu standardowego obserwatora. Pokazuje on uśrednione możliwości człowieka w zakresie percepcji barw (np. zakres długości fal czy czułość itp.). Na podstawie modelu standardowego obserwatora opracowano model CIE XYZ, czyli pierwszy model barw niezależny od urządzenia.
Metoda CIE XYZ określana jest jako przestrzeń barw, która przyjmowana jest jako punkt odniesienia i standard do innych przestrzeni barw stworzonych przez „Commission Internationale de l’Eclairage” (CIE LUV, CIE Lab).
Koncept wartości trójchromatycznych XYZ oparty jest na idei widzenia barw, która mówi, że oko składa się z trzech typów fotoreceptorów, które umożliwiają widzenie trzech podstawowych kolorów (czerwony, zielony, niebieski), natomiast wszystkie kolory to mieszaniny trzech podstawowych kolorów. Dlatego też barwę opisuje się we współrzędnych trójchromatycznych X,Y,Z. Współrzędne te odpowiadają poszczególnym udziałom procentowym trzech podstawowych kolorów R (red – czerwony), G (green – zielony), oraz B (blue – niebieski).

Rys. 1 http://home.agh.edu.pl/~tarasiuk/dydaktyka/doc/GFK/S/02%20Problem%20barwy%20i%20koloru.pdf
Opis trójwymiarowy CIE XYZ w kolejnym etapie został przekształcony w dwuwymiarową przestrzeń CIE xyY. Przelicza ona składowe barw X, Y, Z na współrzędne trójchromatyczne x, y, Y. Współrzędne x i y odpowiadają za chromatyczność, a Y za jasność. Przestrzeń xyY obrazujemy w przestrzeni barw którą jest wykres chromatyczności, jako trójkąt Maxwella lub też trójkąt barw. Przedstawia się to jako obszar zamknięty dwiema liniami – krzywą barw monochromatycznych i prostą linią purpury.

Rys. 2 http://home.agh.edu.pl/~tarasiuk/dydaktyka/doc/GFK/S/02%20Problem%20barwy%20i%20koloru.pdf
W wyniku prac nad zagadnieniem postrzegania różnicy barw, prowadzonych przez Writhta, MacAdama i Stilesa, powstało zagadnienie równomierności przestrzeni barw.
Gdy w przestrzeni CIE XYZ określi się zakresy różnicy percepcyjnej barw (rys. poniżej), wówczas ukażą się elipsoidy o różnej wielkości (tzw. Elipsoidy MacAdama). Powstaną one w obszarach barw zielonych, jako elipsoidy o stosunkowo dużej średnicy i w obszarach barw niebieskich , jednak tu o stosunkowo małej średnicy. Kiedy więc oznaczymy dwa punkty w takiej przestrzeni, to w przypadku barwy niebieskiej ludzkie oko może odebrać je jako dwie subiektywnie różne barwy. Natomiast dwa punkty, które będą tak samo oddalone w zakresie barw zielonych mogą określać barwy między którymi oko człowieka nie dostrzeże różnicy, czyli będzie to subiektywnie określona jedna barwa.

Rys. 3 https://stackoverflow.com/questions/25184748/represent-cie-1931-color-space
Dzięki prowadzeniu badań w zakresie równomierności przestrzeni barw stworzono także przestrzeń CIE LUV oraz CIE Lab.
Model CIE LUV został stworzony (w 1960 roku) w skutek dokonania przekształceń zmiennych xy na zmienne uv. Miały one lepiej odwzorowywać różnice pomiędzy barwami. Podczas dalszych badań okazało się jednak, że taki zestaw zmiennych mocno ogranicza obszary w okolicy brązu, pomarańczu i żółci. Wymienione barwy są bardzo istotne w malarstwie, szczególnie olejnym czy też w zdjęciach natury, dlatego też trzeba było podjąć kolejne próby transformacji. W 1976 opracowano więc zmienne u’ i v’, tworząc tym samym przestrzeń CIE LU’V’. Ważnym jest, że litera „L” w nazwach pochodzi tu od słowa „lightness” i tak samo jak „Y” w modelu xyY określa jasność. Obie uzyskane reprezentacje barw przedstawia poniższy rysunek:
a) Wykres CIE uv b) Wykres CIE u’v’

Rys. 4 http://home.agh.edu.pl/~tarasiuk/dydaktyka/doc/GFK/S/02%20Problem%20barwy%20i%20koloru.pdf
Drugim najczęściej używanym modelem barw niezależnych od urządzenia jest model CIE Lab. Jest to kolejna transformacja przestrzeni CIE XYZ, którą stworzono w 1976 roku. Definiując ją założono, że barwy będące w identycznej odległości od siebie będą postrzegane jak jednakowo różniące się. Zakładając, że barwa nie może być jednocześnie purpurowa i niebieska i żółta lub zielona, do opisu wybrano następujące składowe: L – jasność (luminacja), a – barwa od zielonej do magnety oraz b – barwa od niebieskiej do żółtej.

Rys. 5 https://www.researchgate.net/figure/CIE-LAB-1976-color-space_fig2_263697963
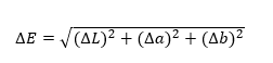
Ważną zaletą danego modelu jest jednak łatwość porównywania barw. Różnicę pomiędzy dwiema barwami w przestrzeni CIE Lab wyraża się jako ΔE, która obliczana jest na podstawie następującej zależności

ΔE to zwykła odległość euklidesowa, znajdująca się między dwoma punktami zawartymi w przestrzeni trójwymiarowej.
Przyjmuje się, że standardowy obserwator rozpoznaje różnicę barw wg. następujących wskaźników:
0 < ΔE < 1 – nie widzi różnicy,
1 < ΔE < 2 – jedynie doświadczony obserwator zauważa różnicę,
2 < ΔE < 3,5 –również niedoświadczony obserwator zauważa różnicę,
3,5 < ΔE < 5 – obserwator zauważa wyraźną różnicę barw,
5 < ΔE – obserwator odbiera barwy jako zupełnie dwie różne.
Podobnie jak przestrzeń CIE XYZ, model CIE Lab związany jest z bezpośrednim postrzeganiem barw przez ludzkie oko. Dlatego też określamy go jako niezależny od urządzenia model kolorów.
Przestrzeń kolorów CIE LCh wykorzystuje ten sam schemat, co przestrzeń kolorów CIE Lab, ale używa współrzędnych cylindrycznych zamiast współrzędnych prostokątnych. W tej przestrzeni kolorów, L oznacza jasność i jest tym samym parametrem co jasność L w przestrzeni CIE Lab, C to nasycenie, a h to odcień. Wartość nasycenia barwy C wynosi 0 w środku kuli, będącej obrazem przestrzeni kolorystycznej i zwiększa się zgodnie z odległością od środka. Odcień h to kąt, którego pomiar rozpoczyna się od na osi + a i wyraża się w stopniach.

Rys. 6 https://www.xrite.com/blog/tolerancing-part-3
Przestrzeń kolorów Hunter Lab została opracowana w 1966 przez R. S. Huntera jako bardziej wizualnie jednolita przestrzeń kolorów niż CIE 1931 Yxy i bardzo zbliżona do przestrzeni CIE Lab. Obecnie pozostaje w użyciu w różnych dziedzinach, w tym w przemyśle farbiarskim w Stanach Zjednoczonych, niemniej stosowana jest rzadziej niż opracowana nieco później przestrzeń CIE Lab, która zyskała więcej zwolenników.
Obie skale Hunter Lab i CIE Lab wykorzystują nieco inne funkcje do obliczania wartości Lab używając jako argumentów składowych trójchromatycznych XYZ. Hunter Lab dokonuje transformacji przy użyciu pierwiastków kwadratowych, podczas gdy CIE Lab stosuje funkcje pierwiastków sześciennych.Kolejna różnica widoczna jest w rozpiętości poszczególnych obszarów kolorystycznych. Skala Hunter kurczy się w żółtym obszarze przestrzeni koloru a rozszerza w niebieskim. Z kolei skala CIE Lab, jest nieco rozszerzana w żółtym obszarze, co jest bardziej oczywiste, gdy wartość CIE Z próbki jest mniejsza niż jeden. Dodatkową przewagą skali CIE Lab jest fakt, że zwykle lepiej odzwierciedla wizualną ocenę różnic kolorystycznych dla bardzo ciemnych kolorów.

Rys. 7 http://pomiarbarwy.pl/?p=481